Los Peces En El Rio Partition
Isotopic Niche Partitioning Between Two Apex Predators Over Time Drago 17 Journal Of Animal Ecology Wiley Online Library
Les Chants De Noel Pour La Guitare Electrique Chansons Faciles En Partitions Et Tablatures French Edition Marco Javier Amazon Com Books
Www Zoobarcelona Cat Sites Default Files 19 02 Proyecto microbioma Informe final macedaveigaa 0 Pdf
Http Www Seaaroundus Org Belize Fcrr Belize Pdf
Mon Coeur S Ouvre A Ta Voix Score Orchestre Musique Baroque
2
Download and print in PDF or MIDI free sheet music for Los Peces En El Río by Villancicos arranged by Fasollasi for Piano (Solo).
Los peces en el rio partition. La Virgen se está peinando Entre cortina y cortina Sus cabellos son de oro Y el peine de plata fina Pero mira cómo beben los peces en el río Pero mira cómo beben por ver al Dios nacido Beben y beben y vuelven a beber Los peces en el río por ver a Dios nacer La Virgen está lavando Y tendiendo en el romero Los angelitos cantando Y el romero florecido Pero mira cómo beben los peces en. Ay Que en esta tierra – Navarro Mollor – Villancico popular andaluz Brincan y bailan los peces en el rio – Navarro Mollor – Villancico popular andaluz Campana sobre campana – Navarro Mollor – Villancico popular andaluz Canta, rie y bebe – Navarro Mollor – Villancico popular andaluz. Download Traditional Los Peces En El Rio sheet music notes, chords World composition arrangement for Piano, Vocal & Guitar (RightHand Melody) Sheet music includes 2 page(s) SKU Check if transposable.
This lovely air is one of the most celebrated compositions of the famous Scots fiddler and composer Niel Gow () His second wife was Margaret Urquhart of Perth, to whom he was happily married for three decades. Los pastores que supieron Arm José L Blasco PDF Atril Coral Los pastores y los reyes (Castilla) Arm José L Blasco PDF Atril Coral Los pastores y los reyes Arm José L Blasco PDF Atril Coral Los peces en el río Arm Alfredo Carrión PDF Atril Coral Los peces en el rio PDF Coro Albar Los remeros del Volga S. If you are at home, or in class and rather tired, you can make your voice even more quiet at the last verses and relax after the song, keeping some minutes of silence You may also like Fum fum fum Patapan Los peces en el río.
Partitura Los Peces En El Río Arreglo para Piano, Vocal y Guitarra De Christmas Carol y Traditional Incluye Acordes, Scorch y Pdf. Partition piano Los Peces En El Río de Christmas Carol Piano Voix Guitare (Mélodie Main Droite) Christmas Carol est un (e) artiste très talentueux (se) Cette chanson, Los Peces En El Río, est extrêmement belle La partition interactive cidessous a été écrite avec soin et vous aidera à maîtriser cette pièce rapidement sur votre piano Cette partition est à imprimer directement après achat. La Virgen lava pañales Em y los tiende en el romero Los pajarillos cantando Em y el romero floreciendo Em pero mira como beben los peces en el río pero mira como beben Em por ver al Dios nacido Beben y beben y vuelven a beber los peces en el río Em por ver a Dios nacer Fm C7 La Virgen está lavando Fm con un poco de jabón.
Los cabellos son de oro, el peine de plata fina Estribillo Pero mira como beben los peces en el río, pero mira como beben por ver al dios nacido Beben y beben y vuelven a beber, los peces en el río, por ver al dios nacer La Virgen está lavando y tendiendo en el romero Los angelitos cantando y el romero floreciendo (Estribillo) La Virgen. Ay Que en esta tierra – Navarro Mollor – Villancico popular andaluz Brincan y bailan los peces en el rio – Navarro Mollor – Villancico popular andaluz Campana sobre campana – Navarro Mollor – Villancico popular andaluz Canta, rie y bebe – Navarro Mollor – Villancico popular andaluz. Otro de los éxitos más reconocidos del álbum es la de “Los peces en el río” interpretada por María Fernanda Meade del Valle y las hermanas María Isabel y María Teresa Lascurain Arrigunaga que conformaban el trío musical Pandora La producción reunió un total de 10 canciones con temas como “Campanas navideñas” interpretada por Tatiana, “Adeste Fideles” por Mijares.
D7 Gm los peces en el río por ver al Dios nacer ESO ES TODO GRACIAS This file is the work if its transcriptor and it represents his/her own interpretation of the song This material is intended for PERSONAL USE ONLY It is strictly forbiden to copy, reproduce or retransmit the contents of this website Legal actions will be taken if required. Los peces en el río In standard Spanish, only the first word of titles of songs and other compositions is capitalized, except for words that are always capitalized, such as proper nouns Se está peinando is an example of a reflexive verb in a continuous or progressive tense. La la la la la la la la la La la la la la la la la la La la la la la la la la la La la la la la la la la la Hold on to me Don't let me go Who cares what they see?.
Los Peces En El Rio Lyrics La virgen se está peinando entre cortina y cortina / Los cabellos son de oro, el peine de plata fina / Pero mira como beben los peces en el río / Pero mira como beben. Los peces en el rio Cargado por LoiBarrosGallego Hacia Belen Va Una Burra Cargado por LoiBarrosGallego El Tamborilero Cargado por ratuluc Dime niño de quien eres (piano) Cargado por LoiBarrosGallego Campana Sobre Campana (Organo) Cargado por LoiBarrosGallego Menú del pie de página Volver arriba Acerca de. El motivo es que la salinidad del agua que les rodea, en comparación con la salinidad de su propio cuerpo, es muy baja, y el agua siempre fluye del medio en el que hay menos sal hacia el que tiene más sal, y por eso los peces de río, más salados que su entorno, corren el riesgo de hincharse de aguaPor este motivo no beben, sino que filtran agua a través de sus agallas y orinan en.
Intro Bm A Bm Verse Bm A Bm La virgen se esta peinando entre cortina y cortina Bm A Bm Los cabellos son de oro, el peine de plata fina Chorus Bm A Pero mira como beben los peces en el rio Bm Pero mira como beben por ver al dios nacido Bm A Beben y beben y vuelven a beber Bm Los peces en el rio por ver al dios nacer Verse. Los Peces en el Rio $495 Voir plus Acheter en ligne Composed by Traditional Spanish Arranged by Matthew Prins For 3, 4, 5 octaves handbells Christmastide, Christmas Day Formation musicale Solfège Partition Leduc, Alphonse La référence AL de l'éditeur Leduc dont l'auteur célèbre est Challan Henri, qui a pour titre. First name is free Last name is dom Cause you still believe In where we're from Freedom Freedom Freedom Freedom Do you recall, not long ago We would walk on the sidewalk Innocent, remember?.
La partition « Los peces en el rio » Téléchargez la partition de Los peces en el rio, chant de Noël espagnol avec accords de guitare. Los Peces en el Río Minuit, chrétiens O Tannenbaum Still, Still, Still Stille Nacht, heilige Nacht The First Nowel Tu scendi dalle stelle We Wish You A Merry Christmas The Amazon Book Review Book recommendations, author interviews, editors' picks, and more Read it now Enter your mobile number or email address below and we'll send you a link. Pero mira como beben los peces en el río Pero mira como beben por ver a Dios nacido Beben y beben y vuelven a beber Los peces en el río por ver a Dios nacer Submitted by líadan on Sun, 28/09/14 2321 Last edited by Ww Ww on Sun, 17/12/17 0458 Submitter's comments.
Am E7 La Virgen se está peinando E Am Entre cortina y cortina Am E7 Sus cabellos son de oro Am E7 Y el peine de plata fina Am E7 Pero mira cómo beben los peces en. Los peces en el río partitura by felipe_garcia_28 in Types > Brochures y los peces en el río partitura. Déc une chanson espagnole très populaire est « los peces en el río » l’auteur en est inconnu mais on reconnaît dans la chanson certaines Vu sur ipinimgcom Vu sur partitionsdechansonscom los peces en el río les poissons dans le fleuve pero mira como beben mais regarde comme ils boivent por ver al dios nacido pour voir le traduction de christmas carols, paroles de « los peces.
Download and Print Los Peces En El Rio sheet music for Piano, Voz y Guitarra (Melodía mano derecha) by Traditional from Sheet Music Direct Obtenga acceso ilimitado a más de 0,000 arreglosObtenga su primer mes gratis Partituras ilimitadas con PASSEl primer mes Gratis. Aquí te puedes descargar GRATIS los 4 diseños del pentagrama especial para niños y los colores en el piano https//kindermozartcom Deja una respuesta Cancelar la respuesta Tu dirección de correo electrónico no será publicada. Hacia el portal de Belén se dirige un pastorcito cantando de esta manera para alegrar el camino Ha nacido el niño Dios en un portal miserable Para enseñarle a los hombres la humildad de su linaje Arre borriquito, arre burro arre, anda más deprisa que llegamos tarde Arre borriquito vamos a Belén, que mañana es fiesta y al otro también.
En el post de hoy os dejamos la partitura en pdf de uno de los villancicos más famosos de España, Los peces en el ríoEs una pieza para piano solo de nivel principiante, fácil para tocar en estas fiestas Los peces en el río es un villancico que se escucha mucho en España (o países de habla hispana), pero poco en otros países, se caracteriza por la paz y tranquilidad que inspira. Notas Musicales → https//googl/uMeVn0 Versiòn Synthesia → https//youtube/SsQPUzHSYdo Facebook → https//googl/AwLwCE Segundo Canal → https//googl/AyF. Follk Song, Spanish – Los Peces en El Rio You’ve found the free sheet music and TAB for Los Peces en El Rio a Traditional Christmas Song Click the button below for instant access to the free PDF guitar transcriptions.
Notas Musicales → https//googl/MYSsDT Versiòn Real → https//youtube/NM3znH2g8 Aprende Piano Fácil → https//tinyurlcom/Pianoclickflowkey Facebook →. Suscríbete A Nuestro Canal Aquí 👉 https//googl/daFpGQ 👈Disfruta y comparte en familia las novenas de navidad con el villancico "Los Peces En El Río"Cono. Los Peces en el Rio for Flute Choir Unknown Arranged by Allison Vitek $1100.
E7 Los cabellos son de oro Am y el peine de plata fina E7 Pero mira como beben los peces en el río Am pero mira como beben por ver al Dios nacido E7 Beben y beben y vuelven a beber Am los peces en el río por ver a Dios nacer Am E7 La Virgen está lavando Am y tendiendo en el romero. Notas Musicales → https//googl/uMeVn0 Versiòn Synthesia → https//youtube/SsQPUzHSYdo Facebook → https//googl/AwLwCE Segundo Canal → https//googl/AyF. 11dic16 Ejercicios melódicos y rítmicos para empezar a tocar el blues.
SI7 La Virgen lava pañales MIm y los tiende en el romero SI7 Los angelitos cantando MIm y el romero floreciendo SI7 Pero mira como beben los peces en el rio MIm pero mira como beben por ver al Dios nacido SI7 Beben y beben y vuelven a beber MIm los peces en el río por ver a Dios nacer. Who cares what they know?. Print and download Los Peces En El Rio sheet music composed by Traditional Sheet music arranged for Piano/Vocal/Chords in E Minor (transposable) SKU MN.
Se conoció el informe final sobre el sorprendente fenómeno ocurrido durante los últimos días de noviembre y los primeros de diciembre de una histórica mortandad de peces en el río Salado.
Www Int Res Com Articles Dao17 124 D124p055 Pdf
Loricaria Cuffyi Siluriformes Loricariidae A New Species Of Loricariin Catfish From The Guiana Shield Londono Burbano Journal Of Fish Biology Wiley Online Library
The Fishes In The River Los Peces En El Rio For Solo Piano Music Sheet Download Topmusicsheet Com
2
Peerj Com Articles Pdf
Repeated Colonization Of Caves Leads To Phenotypic Convergence In Catfishes Siluriformes Trichomycterus At A Small Geographical Scale Biorxiv
How To Play Los Peces En El Rio Melodica Tutorial Christmas Songs Youtube
Occurrence And Fate Of Pesticides In The Argentine Stretch Of The Paraguay Parana Basin Springerlink
Los Peces En El Rio Sheet Music For Voice Piano Or Guitar Pdf
Los Peces En El Rio Je Chante Noel Par Equipe Globekid Globekid
Gale Academic Onefile Document Fish Assemblages And Their Ecological Traits Along An Elevational Gradient In The Rio Pacuare Costa Rica Ensambles De Peces Y Sus Caracteristicas Ecologicas A Lo Largo De
Partitions Los Peces En El Rio
Www Tdx Cat Bitstream Handle Dcm Phd Thesis Pdf Sequence 1 Isallowed Y
2
The Extinction Of The Catarina Pupfish Megupsilon Aporus And The Implications For The Conservation Of Freshwater Fish In Mexico Oryx Cambridge Core
Pdf Peces Del Bajo Rio Uruguay Especies Destacadas
Pdf Factores Ambientales Asociados A Los Patrones En Las Comunidades De Peces En Un Rio De Alta Pendiente En La Vertiente Del Golfo De Mexico
Los Peces En El Rio Beth S Notes Spanish Music Teaching Music Sheet Music
60 Ideas De Musica Musica Partituras Partituras Piano Partituras
Los Peces En El Rio Piano Sheet Music By Christmas Carol Piano Voice Guitar Rhm
Loricaria Cuffyi Siluriformes Loricariidae A New Species Of Loricariin Catfish From The Guiana Shield Londono Burbano Journal Of Fish Biology Wiley Online Library
Los Peces En El Rio Partition Gratuite
Http Www Vliz Be Imisdocs Publications Pdf
Mitochondrial Dna Diversity And Phylogeography Of Lucania Interioris Inform Biodiversity Conservation In The Cuatro Cienegas Basin Mexico
Los Peces En El Rio Spanish Carol Arranged By Stacy Fahrion Youtube
Www Who Int Ipcs Publications Cicad Cicad18 Rev 1 Pdf
Free Classical Guitar Sheet Music Los Peces En El Rio Traditional Christmas Song
Www Zobodat At Pdf Stapfia 00 0495 0505 Pdf
2
2
To2sifydlpljgm
2
Gale Onefile Informe Academico Document Fish Assemblages And Their Ecological Traits Along An Elevational Gradient In The Rio Pacuare Costa Rica Ensambles De Peces Y Sus Caracteristicas Ecologicas A Lo Largo
Historical Shifts In Brazilian P Falciparum Population Structure And Drug Resistance Alleles
Los Peces En El Rio Sheet Music For Piano Trumpet In B Flat Violin Flute More Instruments Piano Sextet Musescore Com
Los Peces En El Rio Sheet Music 1 Arrangement Available Instantly Musicnotes
La Boite A Chansons Los Peces Lhasa Partitions Paroles Et Accords
Traditional Los Peces En El Rio Traditional Carol Download Instant Print Crescendo Music Specialiste Pour Tous Vos Partitions Et Accessoires De Musique Anvers Louvain
Los Peces En El Rio For Sab Guitar And String Bass Sheet Music
Http Www Subpesca Cl Fipa 613 Articles 445 Informe Final Pdf
La Peregrinacion A La Huella Free Christmas Carols
La Boite A Chansons Los Peces Lhasa Partitions Paroles Et Accords
2
Partitions Los Peces En El Rio
Los Peces En El Rio 2 Voices And Piano Music Sheet Download Topmusicsheet Com
Copy Of Literature Update This Iucn Seahorse Pipefish Seadragon
Pdf Los Peces Osteictios Fosiles De Chile Y Su Importancia En Los Contextos Paleobiogeografico Y Evolutivo
La Reparticion Espacial De Los Peces En El Rio Paraguay Paragua
Los Peces En El Rio For Sab Guitar And String Bass Sheet Music
Traditional Los Peces En El Rio Sheet Music In E Minor Transposable Download Print Sku Mn
Plasticidad En La Seleccion De Alimento Y Estructura Trofica De Los Peces Asociados A Bosques De Macroalgas Pardas Del Norte De Chile
Los Peces En El Rio Piano Tutorial Notas Musicales Youtube
Los Peces En El Rio Trad Spanish Free Flute Sheet Music Flutetunes Com
2
Systematic And Historical Biogeography Of The Bryconidae Ostariophysi Characiformes Suggesting A New Rearrangement Of Its Genera And An Old Origin Of Mesoamerican Ichthyofauna Bmc Ecology And Evolution Full Text
2
2
Www Mdpi Com 73 4441 11 7 1374 Pdf
Les Chants De Noel Pour La Guitare Basse Chansons Faciles En Partitions Et Tablatures French Edition Marco Javier Amazon Com Books
Los Peces En El Rio Flauta Partitura Sheetmusic Free Com
2
Europaische Chorweihnacht 2 In De Stretta Bladmuziek Shop Kopen
Pin By Manny Da Costa On Music In Ukulele Songs Ukulele Chords Songs Guitar Chords And Lyrics
Academic Oup Com Plankt Article Pdf 42 2 173 Fbaa004 Pdf
Ontogenetic Diet Changes And Food Partitioning Of Haemulon Spp Coral Reef Fishes With A Review Of The Genus Diet Springerlink
The Extinction Of The Catarina Pupfish Megupsilon Aporus And The Implications For The Conservation Of Freshwater Fish In Mexico Oryx Cambridge Core
Communities Of Practice In Pre Hispanic Middle And Lower Parana Northeastern Argentina Ceramic Petrography Contributions Sciencedirect
Repeated Colonization Of Caves Leads To Phenotypic Convergence In Catfishes Siluriformes Trichomycterus At A Small Geographical Scale Biorxiv
Www Jstor Org Stable Pdf Pdf
Los Peces En El Rio Sheet Music For Voice Piano Or Guitar Pdf
Free Classical Guitar Sheet Music Los Peces En El Rio Traditional Christmas Song
La Reparticion Espacial De Los Peces En El Rio Paraguay Paragua
La Reparticion Espacial De Los Peces En El Rio Paraguay Paragua
To2sifydlpljgm
Los Peces En El Rio 2 Voices And Piano Music Sheet Download Topmusicsheet Com
Christmas Sheet Music Pdf Free Download Sheetmusic Free Com
Systematic And Historical Biogeography Of The Bryconidae Ostariophysi Characiformes Suggesting A New Rearrangement Of Its Genera And An Old Origin Of Mesoamerican Ichthyofauna Bmc Ecology And Evolution Full Text
Www Reformrivers Eu System Files 1 4 inventory of restoration costs and benefits Pdf
Los Peces En El Rio Piano Tutorial Notas Musicales Youtube
Los Peces En El Rio Sheet Music Free Sheet Music Teaching Music
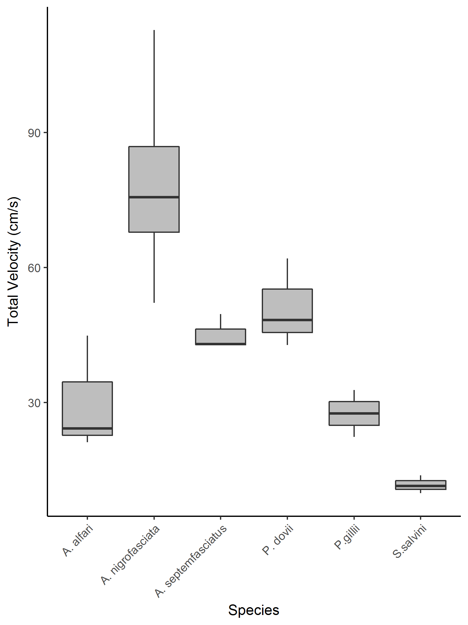
Morphometry And Burst Swimming In Six Continental Fish Species From Costa Rica
Los Peces En El Rio Simplificada Sheet Music For Piano Solo Musescore Com
Les Chants De Noel Pour La Guitare Classique Chansons Faciles En Partitions Et Tablatures French Edition Marco Javier Amazon Com Books
Plasticidad En La Seleccion De Alimento Y Estructura Trofica De Los Peces Asociados A Bosques De Macroalgas Pardas Del Norte De Chile
Les Plus Beaux Chants De Noel Pour Les Nuls Sylvain Griotto First Grand Format L Echappee Belle Sete
Los Peces En El Rio 2 Voices And Piano Music Sheet Download Topmusicsheet Com
Plasticidad En La Seleccion De Alimento Y Estructura Trofica De Los Peces Asociados A Bosques De Macroalgas Pardas Del Norte De Chile
2
Comparacion Del Numero De Pellets Consumidos Por Los Peces En Los Download Scientific Diagram
Musica De Navidad 4 Acheter Dans Le Magasin De Partitions De Stretta
La Reparticion Espacial De Los Peces En El Rio Paraguay Paragua
Morphometry And Burst Swimming In Six Continental Fish Species From Costa Rica
2
Los Peces En El Rio Music Sheet Download Topmusicsheet Com


